• 2023年第48卷第12期文章目次
    全 选
    显示方式: |
    • >疾病数据分析与建模
    • 基于社交信息扩散的网络传染病传播防控研究

      2023, 48(12):1393-1400. DOI: 10.13406/j.cnki.cyxb.003388

      摘要 (152) HTML (38) PDF 2.11 M (225) 评论 (0) 收藏

      摘要:在自媒体时代,大规模流行病暴发的同时,疫情相关信息也在各种社交平台上扩散。因此,评估社交网络上信息扩散对疫情防控的影响,进一步合理引导网络舆论,对疫情防控具有重要现实经济意义。近年来,揭示和理解社交信息扩散对流行病传播及其防控策略的影响成为网络科学领域的研究热点。本文重点回顾单个网络、双层网络和高阶网络上的信息扩散对传染病传播防控影响的最新进展,及其挑战和未来潜在研究。

      • 0+1
      • 1+1
      • 2+1
      • 3+1
      • 4+1
      • 5+1
      • 6+1
      • 7+1
      • 8+1
      • 9+1
      • 10+1
      • 11+1
      • 12+1
    • 中医体质与心理症状的网络分析

      2023, 48(12):1401-1407. DOI: 10.13406/j.cnki.cyxb.003394

      摘要 (142) HTML (80) PDF 2.41 M (184) 评论 (0) 收藏

      摘要:目的 对中医体质与心理症状进行网络分析,构建二者的网络分析图,探究体质与心理症状的关系以及不同性别之间网络结构的差异,为临床心理疾病的早期预防和治疗提供依据。方法 以网络调查的方法收集调查对象的中医体质与心理症状,在R(Version 4.3.1)中使用qgraph进行分析和构建网络模型,利用graphical lasso对网络进行简化。使用bootnet对网络的稳定性进行检验,NetworkComparisonTest对不同性别之间的网络分析进行比较。结果 气虚质、阴虚质、痰湿质为该网络中具有高中心性的体质;人际关系敏感、焦虑、抑郁、强迫症状是具有高中心性的心理症状。该网络中强度中心性稳定性为0.75,接近中心性稳定性为0.67,中介中心性稳定性为0.28,均达到了可接受的程度。不同性别的中医体质与心理症状网络不存在显著差异。结论 不同性别的中医体质与心理症状网络是相似的,在该网络中气虚质、阴虚质和痰湿质是与心理症状相关的高中心性体质。在心理问题早期筛查中可结合患者的体质,针对体质进行调理,达到治未病的目的。

      • 0+1
      • 1+1
      • 2+1
      • 3+1
    • GluA1相互作用蛋白GNAI2和SRSF10对肝细胞癌预后的影响及诊断模型的建立

      2023, 48(12):1408-1417. DOI: 10.13406/j.cnki.cyxb.003391

      摘要 (87) HTML (60) PDF 6.03 M (177) 评论 (0) 收藏

      摘要:目的 探讨AMPA型谷氨酸受体亚基1(glutamate A1,GluA1)相互作用蛋白GNAI2、SRSF10对HCC药物相关靶点、预后指标及诊断模型的作用和影响。方法 蛋白质组学方法获得GluA1相互作用蛋白。Xena数据库(https://xenabrowser.net/)中获取肝细胞癌(liver hepatocellular carcinoma,LIHC)转录组数据以及对应的临床数据,保留在75%样本中表达的基因和其中原发肿瘤和癌旁组织样本用于后续分析。R语言的limma包标准流程对样本进行差异分析。对GluA1相互作用蛋白及差异基因取交集,并进行表达量分析、单因素COX分析和生存曲线分析。PDBePISA数据库验证候选蛋白集与GluA1在分子结构上的对接。string数据库分析候选蛋白集与肝癌相关药物的作用靶点。多因素COX分析患者的预后指标,logistic回归模型构建肝癌诊断模型。结果 获得6个候选蛋白,即KIF1A、GNAI2、RPL3、ARPC1A、EIF3H和SRSF10与GluA1具有很强的亲和力。其中GNAI2和SRSF10是肝细胞癌药物Regorafenib的二级作用靶点,其在单因素以及多因素COX分析中对患者的生存均存在影响(P<0.05),GNAI2(P=0.000 339),SRSF10(P=0.040 4),并且GNAI2、SRSF10在疾病组中比正常组中高。Z值分别为GNAI2:3.584、SRSF10:2.049。HR分别为GNAI2:2.38,SRSF10:1.18,均为不利预后因素,有希望作为独立于其他因素的预后指标。在肝癌患者的诊断模型中,HR系数分别为GNAI2:11.8455,SRSF10:-0.2037,且该模型在训练集上的曲线下面积为0.971,性能优异。结论 GluA1相互作用蛋白GNAI2和SRSF10是肝细胞癌治疗药物Regorafenib的二级作用靶点,意味着其可能会成为独立于其他因素的预后指标,且具备一定的诊断意义。

      • 0+1
      • 1+1
      • 2+1
      • 3+1
      • 4+1
      • 5+1
      • 6+1
      • 7+1
      • 8+1
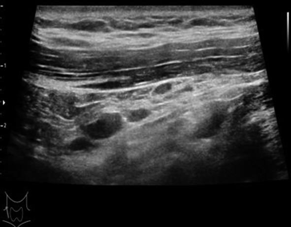
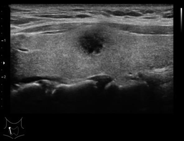
    • 基于SEER数据库构建高危PTMC的诊断模型与验证

      2023, 48(12):1418-1424. DOI: 10.13406/j.cnki.cyxb.003392

      摘要 (71) HTML (47) PDF 1.64 M (177) 评论 (0) 收藏

      摘要:目的 探讨高危甲状腺微小乳头状癌(papillary thyroid microcarcinoma,PTMC)的风险预测因子,构建可靠的列线图诊断模型并验证。方法 回顾性分析2004至2015年SEER数据库中手术治疗的PTMC患者(训练集)以及2020至2022年四川省人民医院甲状腺诊疗中心诊治的甲状腺微小结节患者(外部验证集)的临床病理及超声影像资料。验证集中,利用logistic回归分析高危PTMC的风险预测因子,构建列线图诊断模型并采用内部验证集和外部验证集分别进行验证。再根据术前超声影像学特征进行间接评估,探讨术前超声影像学特征预测高危PTMC的可行性与可靠性。结果 训练集纳入患者1 552例,外部验证集纳入患者516例。训练集中筛选出高危PTMC的独立危险因素为性别(男性)、年龄(≤55岁)、结节数目(多灶)、包膜侵犯,颈部淋巴结异常(P<0.05),构建出的列线图C指数为0.946。在训练集及外部验证集中,该列线图模型的预测结果与实际情况均具有较好的一致性。基于超声影像特征诊断高危PTMC的受试者工作特征(receiver operating characteristic,ROC)的曲线下面积(area under the curve,AUC)值为0.931(95%CI=0.910~0.953),与基于病理特征诊断的AUC值具有较高的一致性(κ=0.611,P<0.05)。结论 本研究构建的高危PTMC诊断模型具有较好的预测效应,利用术前超声影像学特征预测高危PTMC具有一定的临床可行性及临床应用价值。

      • 0+1
      • 1+1
      • 2+1
      • 3+1
      • 4+1
      • 5+1
      • 6+1
    • 基于ARIMA模型的重庆市流行性感冒预测研究

      2023, 48(12):1425-1429. DOI: 10.13406/j.cnki.cyxb.003384

      摘要 (70) HTML (42) PDF 1.09 M (148) 评论 (0) 收藏

      摘要:目的 分析流感的流行趋势,构建流行性感冒发病的自回归滑动平均混合模型(autoregressive integrated moving average,ARIMA)并对验证集进行预测,为重庆市流感的防治提供科学依据。方法 本研究采用R软件对重庆市2010年1月至2021年6月的流感数据进行ARIMA模型拟合,用2021年7月至2021年12月的数据评价模型拟合效果。结果 该流感疾病的流行呈现出明显的季节周期性,周期为1年,发病高峰期为冬季和春季,整体患病率呈上升后有下降趋势,拟合最佳模型为ARIMA(0,1,2)×(0,1,2)12,且该模型在预测2021年7月至12月罹患率的均方根误差为10.70,平均绝对百分比误差为70.04%,预测效果较好。结论 ARIMA模型在预测重庆市流感发病和流行趋势上有一定的效果,并能对未来的罹患率进行估计,可以为今后的流感疾病防控工作提供参考。

      • 0+1
      • 1+1
      • 2+1
      • 3+1
      • 4+1
    • >孟德尔随机化
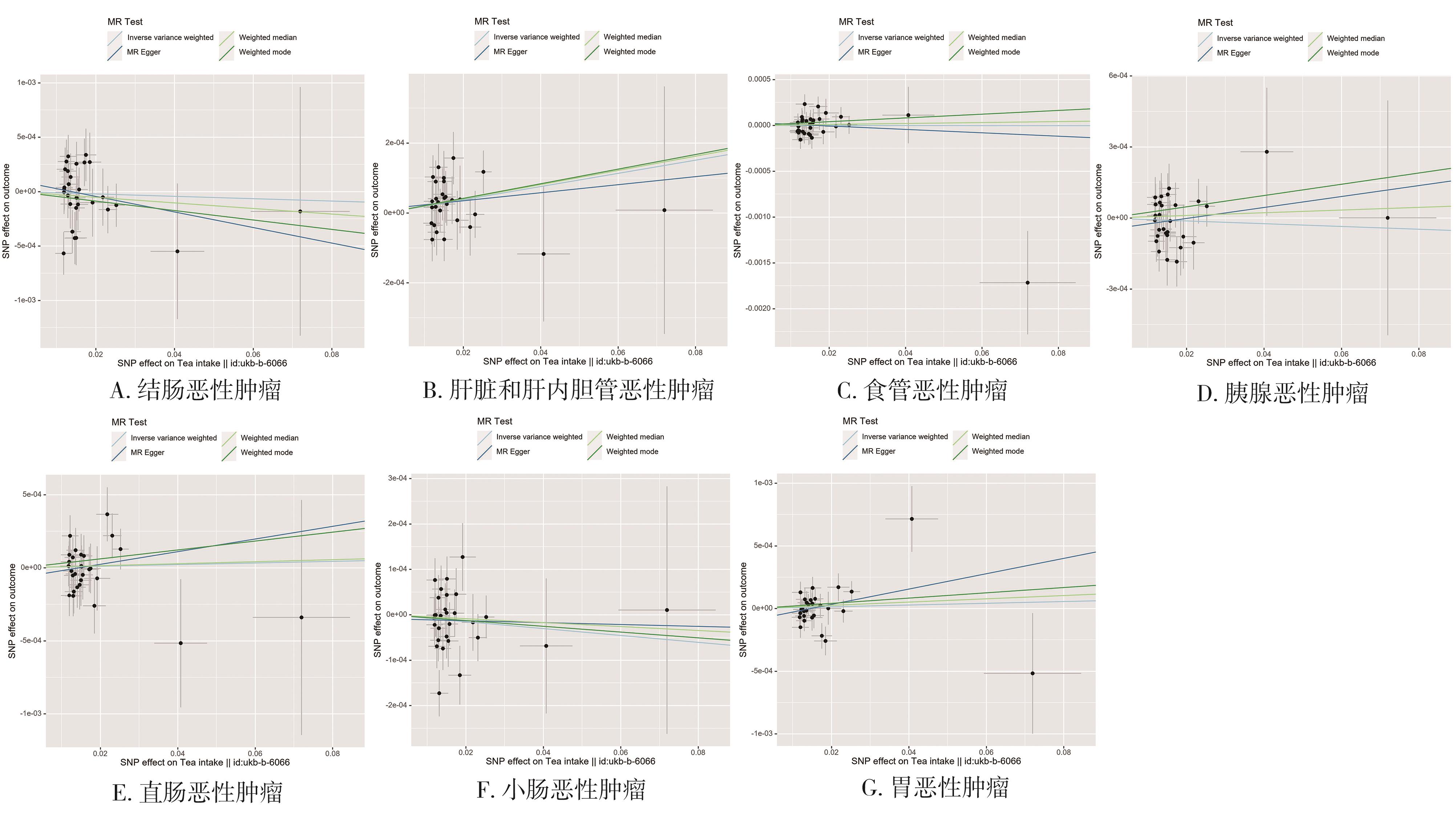
    • 茶摄入量与消化系统恶性肿瘤的因果关联:两样本孟德尔随机化研究

      2023, 48(12):1430-1438. DOI: 10.13406/j.cnki.cyxb.003381

      摘要 (95) HTML (48) PDF 4.19 M (186) 评论 (0) 收藏

      摘要:目的 采用两样本的孟德尔随机化(two-sample mendelian randomization,TSMR)分析方法,探讨茶摄入量与消化系统恶性肿瘤之间的因果关联。方法 在欧洲人群的全基因组关联研究(genome-wide association study,GWAS)中选择与暴露因素茶摄入量密切相关的单核苷酸多态性(single nucleotide polymorphisms,SNP)作为工具变量。英国生物库联合会(United Kingdom Biobank,UKB)提供了消化系统肿瘤的汇总统计数据作为结局变量,其中包括食道癌、胃癌、小肠癌、结肠癌、直肠癌、肝癌及肝内胆管癌。采用逆方差加权(inverse-variance weighted,IVW)作为主要分析方法,并进行了异质性检验、多效性分析以及敏感性分析以评价研究的可靠性。结果 本研究在全基因组显著性水平(P<5×10-8)上,共纳入32个独立与茶摄入量相关的SNPs作为工具变量。IVW分析方法显示,茶摄入量与发生肝癌或肝内胆管癌的风险增加相关(OR=1.0019,95%CI=1.0003~1.0035,P=0.020),而茶摄入量与其他消化系统肿瘤的发生在统计学上没有明显联系。研究结果均不受多效性、异质性的影响,敏感性分析验证了结果的可靠性。结论 这项孟德尔随机研究表明,饮茶可能是增加肝癌和肝内胆管癌风险的一个危险因素,但目前仍需更大样本量的GWAS数据进行进一步的孟德尔随机化研究来验证这种关系。

      • 0+1
      • 1+1
      • 2+1
      • 3+1
      • 4+1
    • 胃食管反流病增加慢性阻塞性肺疾病的患病风险:一项两样本双向孟德尔随机化研究

      2023, 48(12):1439-1445. DOI: 10.13406/j.cnki.cyxb.003396

      摘要 (70) HTML (55) PDF 1.47 M (153) 评论 (0) 收藏

      摘要:目的 采用两样本双向孟德尔随机化(Mendelian randomization,MR)方法研究胃食管反流病(gastroesophageal reflux disease,GERD)与慢性阻塞性肺疾病(chronic obstructive pulmonary disease,COPD)的因果关系。方法 基于大规模全基因组关联研究(genome-wide association studies,GWAS)汇总数据,选择相互独立且与胃食管反流病及COPD高度相关的单核苷酸多态性(single nucleotide polymorphism,SNP)作为工具变量。采用逆方差加权法固定效应模型(inverse variance weighted-fixed effects,IVW-FE)为主要分析方法,简单中位数法、加权中位数法、MR Egger回归法进行结果验证和稳定性检验;采用F统计量、Cochran Q检验、MR Egger截距测试、孟德尔随机多态性残差和离群值(mendelian randomization pleiotropy residual sum and outlier,MR-PRESSO)检验、“留一法”进行敏感性分析。以比值比(odds ratio,OR)及95%置信区间(confidence interval,CI)作为效应指标对胃食管反流病及COPD的双向因果关系进行探讨。结果 IVW-FE分析表明胃食管反流病可增加COPD的患病风险(OR=1.757,95%CI=1.425~2.166,P=0.000),且在简单中位数法、加权中位数法中被证实。然而MR Egger回归法未显示出二者之间的因果关联。在反向MR分析中,IVW-FE分析显示没有证据表明COPD增加胃食管反流病的发病风险(OR=0.999,95%CI=0.962~1.037,P=0.962),同样简单中位数法、加权中位数法、MR Egger回归法未发现二者存在因果关联。工具变量的F值均大于10,不存在弱工具变量;Cochran Q检验、MR Egger截距测试、MR-PRESSO检验表明工具变量间不存在异质性或水平多效性;“留一法”分析显示没有单个SNP对整体结果有较大影响。结论 胃食管反流病与COPD的风险增加有显著的因果关系,但是没有发现COPD导致胃食管反流病风险增加的证据。

      • 0+1
      • 1+1
      • 2+1
      • 3+1
      • 4+1
      • 5+1
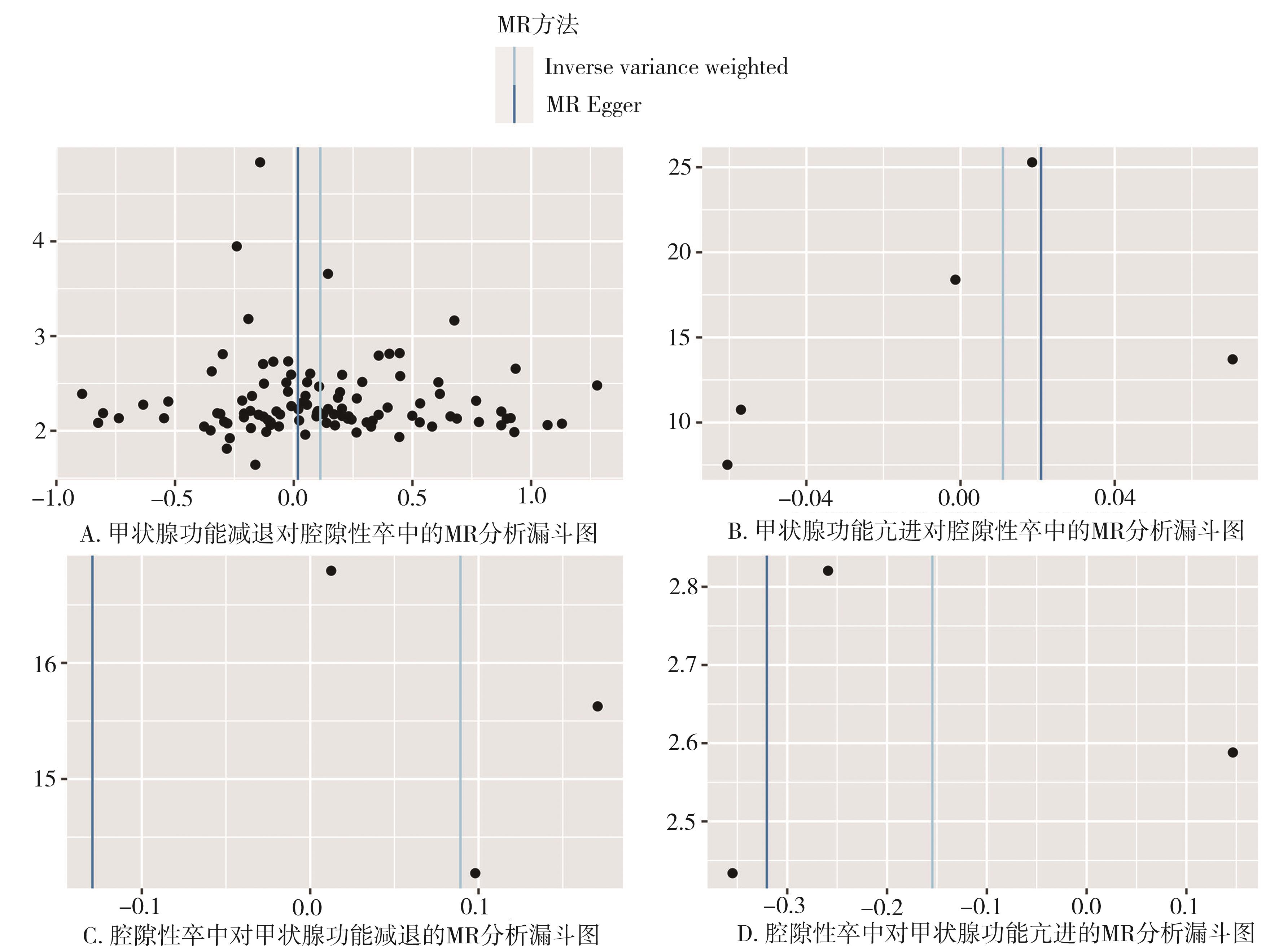
    • 甲状腺功能障碍与腔隙性卒中的因果关系:一项双向、两样本孟德尔随机化研究

      2023, 48(12):1446-1455. DOI: 10.13406/j.cnki.cyxb.003395

      摘要 (62) HTML (45) PDF 3.33 M (162) 评论 (0) 收藏

      摘要:目的 通过两样本孟德尔随机分析(Mendelian randomization,MR)探讨甲状腺功能障碍与腔隙性卒中之间的因果关系。方法 从已发表的全基因组关联研究(genome-wide association studies,GWAS)中提取甲状腺功能减退症、甲状腺功能亢进和腔隙性卒中的GWAS汇总数据,分别包含494 577、172 938和254 459个样本。在正向MR分析中,本研究以甲状腺功能减退和甲状腺功能亢进作为暴露,分别获取了103和5个单核苷酸多态性(single nucleotide polymorphism,SNP)作为工具变量(instrumental variable,IV),以腔隙性卒中作为结局。在反向MR分析中,以腔隙性卒中作为暴露获取了3个SNP作为IV,以甲状腺功能减退和甲状腺功能亢进作为结局。双向MR分析均应用逆方差加权(inverse variance weighted,IVW)作为主要分析方法,加权中位数(weighted median,WM)和MR-Egger作为补充分析方法以评估因果效应。同时还进行了异质性和多效性检验并使用留一法分析评估结果的稳定性。结果 遗传预测的甲状腺功能减退与腔隙性卒中的风险增加相关(IVW:OR=1.118,95%CI=1.030~1.214),未发现甲状腺功能亢进对腔隙性卒中(IVW:OR=1.011,95%CI=0.958~1.067)以及腔隙性卒中对甲状腺功能减退(IVW:OR=1.093,95%CI=0.996~1.200)和腔隙性卒中对甲状腺功能亢进(IVW:OR=0.857,95%CI=0.556~1.320)存在因果关联。结论 甲状腺功能减退与腔隙性卒中风险增加有关,在甲状腺功能亢进对腔隙性卒中的研究及反向研究中并未发现因果关联,该研究结果需要进一步的实验室研究进行验证,以及未来更大样本量的研究提供证据支持。

      • 0+1
      • 1+1
      • 2+1
      • 3+1
      • 4+1
    • 基于孟德尔随机化探讨胃食管反流与间质性肺病的双向因果关系

      2023, 48(12):1456-1461. DOI: 10.13406/j.cnki.cyxb.003398

      摘要 (89) HTML (68) PDF 3.36 M (160) 评论 (0) 收藏

      摘要:目的 临床观察及流行病学调查发现胃食管反流病(gastroesophageal reflux disease,GERD)与间质性肺疾病(interstitial lung disease,ILD)具有相关性,本文章旨在通过孟德尔随机化分析(Mendelian randomization,MR)方法,研究GERD与ILD是否相互存在因果关联,以及这些关联的方向性。方法 从全基因组关联研究(genome-wide association studies,GWAS)汇总数据中选择符合条件的单核苷酸多态性(single nucleotide polymorphisms,SNPs)作为工具变量(instrumental variables,IVs)进行分析,分别采用逆方差加权法(inverse-variance weighted,IVW)、MR-Egger回归分析、加权中位数法(weighted median estimator,WME)等进行两样本孟德尔随机化分析,其中IVW用于主要分析;在进行敏感性分析时,采用MR-PRESSO检验和MR-Egger回归分析以检测和纠正水平多效性;采用留一法、Cochran’s Q检验、漏斗图以评估MR结果的稳定性和可靠性,以OR值评价GERD与ILD的因果关系。结果 IVW结果显示GERD可增加患ILD的风险,GERD对数变换后每增加一个标准差,会导致ILD的风险增加22%(OR=1.22,95%CI=1.11~1.33,P=3.52e-05)。反之,ILD也可增加患GERD的风险。结论 GERD与ILD具有双向因果关系。

      • 0+1
      • 1+1
      • 2+1
      • 3+1
      • 4+1
      • 5+1
      • 6+1
    • 强直性脊柱炎可能增加精神障碍的风险:基于两样本孟德尔随机化方法

      2023, 48(12):1462-1469. DOI: 10.13406/j.cnki.cyxb.003397

      摘要 (96) HTML (41) PDF 3.75 M (166) 评论 (0) 收藏

      摘要:目的 采用两样本孟德尔随机化(two-sample Mendelian randomization,TSMR)分析方法,探讨强直性脊柱炎(ankylosing spondylitis,AS)与精神障碍之间潜在的因果关联,从遗传学角度为AS患者早期预防精神障碍的发生发展提供参考。方法 通过对非重叠全基因组关联研究公开数据进行筛选,以AS作为暴露数据,精神障碍(双相情感障碍和重度抑郁症、神经性厌食症、阿尔茨海默病、焦虑病)作为结局数据,采用逆方差加权法(inverse-variance weighted,IVW)作为该研究评估因果效应的主要分析方法,MR-Egger法、加权中位数法(weighted median)、加权模型(weighted mode)、简单模型(simple mode)等作为补充方法,并通过Cochran’s Q、MR-Egger-intercept进行敏感性分析。结果 ①IVW结果表明遗传预测的AS与双相情感障碍和重度抑郁症(OR=1.055,95%CI=1.019~1.093,P=0.003)、神经性厌食症(OR=1.370,95%CI=1.068~1.759,P=0.013)呈正向因果关系;与阿尔茨海默病(OR=0.976,95%CI=0.955~0.997,P=0.029)呈负向因果关系;与焦虑症(OR=1.034,95%CI=0.906~1.179,P=0.620)之间未发现因果关联。②敏感性分析未发现存在异质性以及水平多效性(P>0.05),表明研究结果没有产生偏倚,留一法也提示结果稳健。结论 本研究提供了AS与精神障碍之间因果关系的新证据,AS可能与双相情感障碍和重度抑郁症及神经性厌食症风险增加有关,为精神障碍的遗传研究提供了新的见解,但未来仍需更大样本量的全基因组关联研究数据通过进一步的孟德尔随机化研究来验证这种关系。

      • 0+1
      • 1+1
      • 2+1
      • 3+1
    • 鼻部疾病与COPD的因果关联:两样本孟德尔随机化分析

      2023, 48(12):1470-1476. DOI: 10.13406/j.cnki.cyxb.003393

      摘要 (91) HTML (58) PDF 1.70 M (154) 评论 (0) 收藏

      摘要:目的 探讨鼻部疾病与慢性阻塞性肺疾病(chronic obstructive pulmonary disease,COPD)之间的因果关系,从而深化对中医理论“鼻为肺之官”的认识。方法 本研究基于全基因组关联研究(genome-wide association studies,GWAS)的汇总统计数据,利用两样本孟德尔随机化(Mendelian randomization,MR)方法,将遗传因素作为工具变量,分析过敏性鼻炎、急性鼻窦炎、慢性鼻窦炎、鼻息肉与COPD之间的因果关系。结果 研究结果显示,在排除多效性和异质性因素后,遗传因素决定的慢性鼻窦炎与COPD的风险增加有关(IVW:P=0.008 6);遗传因素决定的鼻息肉与COPD的风险增加显著相关(IVW:P=0.003 2)。未发现过敏性鼻炎、急性鼻窦炎与COPD的关联。结论 慢性鼻窦炎、鼻息肉与COPD的患病风险增加有关,但仍需要进行高级别的随机对照试验研究进一步进行验证。

      • 0+1
      • 1+1
    • >人工智能技术应用于医学数据分析
    • 人工智能技术在宫颈癌筛查和精准临床诊疗中的研究进展

      2023, 48(12):1477-1482. DOI: 10.13406/j.cnki.cyxb.003385

      摘要 (140) HTML (50) PDF 544.93 K (171) 评论 (0) 收藏

      摘要:宫颈癌的发病率和死亡率均高居女性恶性肿瘤的第4位,且呈年轻化趋势。由于不同地区资源分布不均,患者防治效果存在较大差异,因此需探索适宜不同资源地区的新型诊疗手段,加快推进宫颈癌防治工作。人工智能(artificial intelligence,AI)是一门研究开发计算机程序来模拟、延伸和拓展人行为的科学,近年来在图像分析方面表现优异,在癌症精准筛查、诊断及指导治疗方面展现了巨大潜能,但是目前仍然存在较大的问题及挑战,不可能完全代替医生诊断。本文通过对AI技术在宫颈癌早期筛查和精准临床诊疗方面的研究进展进行总结,以期为患者个性化治疗提供参考,提高患者临床疗效。

    • 基于机器学习的病理组学特征可预测乳腺癌患者对新辅助化疗的反应

      2023, 48(12):1483-1488. DOI: 10.13406/j.cnki.cyxb.003380

      摘要 (128) HTML (57) PDF 2.82 M (155) 评论 (0) 收藏

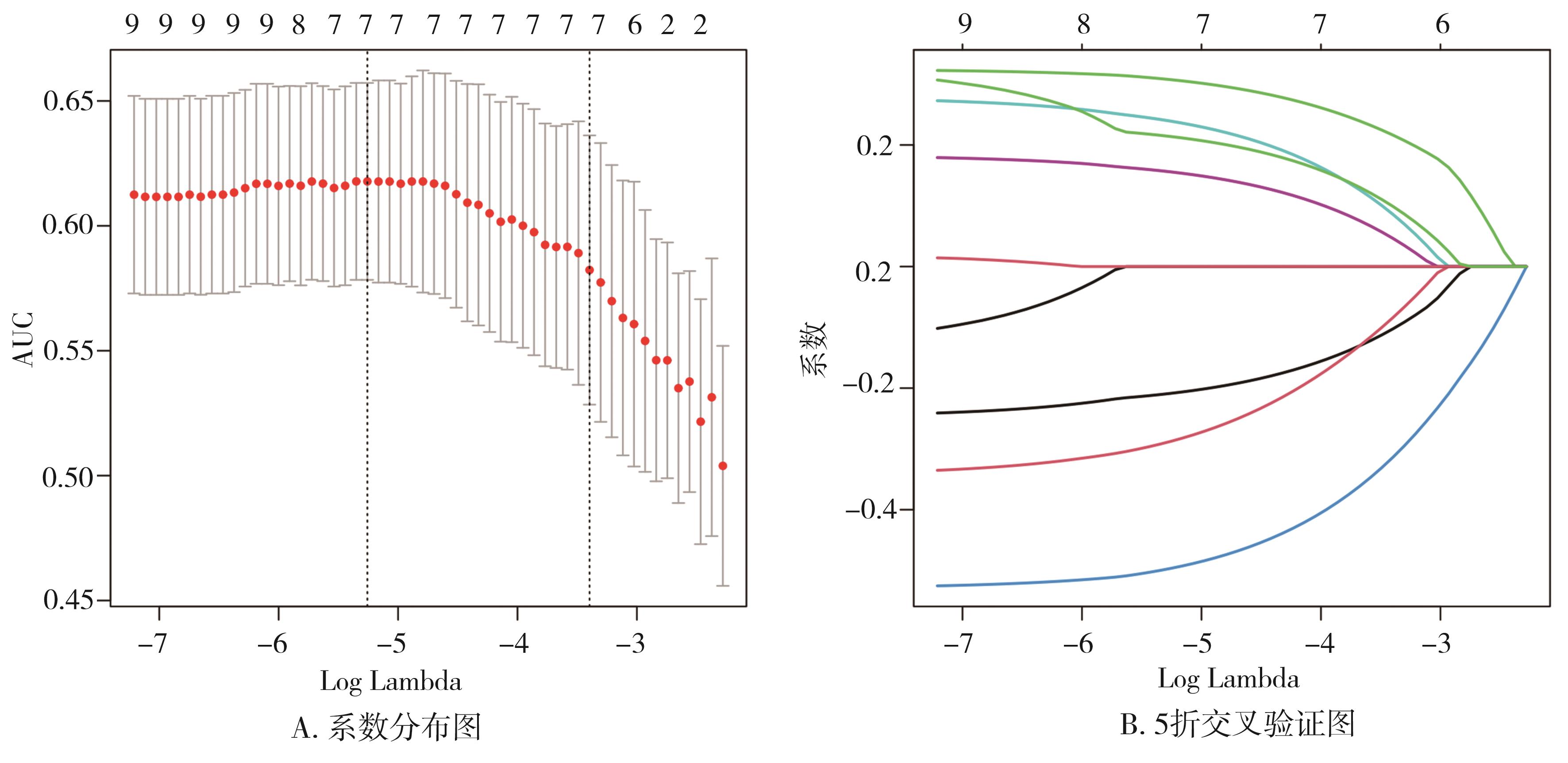
      摘要:目的 利用病理组学的方法开发用于预测乳腺癌(breast cancer,BC)患者新辅助化疗(neoadjuvant chemotherapy,NAC)反应的新型标志物。方法 回顾性纳入211例西南医科大学附属医院的非特殊浸润性BC患者(训练组:155例,验证组:56例),使用CellProfiler软件提取患者数字病理切片中的高维病理组学特征,利用Mann-Whitney U检验、Spearman相关系数和最小绝对值收敛和选择算子(least absolute shrinkage and selection operator,LASSO)算法进行特征逐层筛选。筛选后的最优特征通过支持向量机(support vector machine,SVM)方法在训练集中开发了病理组学特征(pathomics signature,PS)并在独立验证集中进行验证。PS与单因素有意义的临床病理因素(P<0.05)纳入多因素逻辑回归进行进一步验证。结果 PS的曲线下面积(area under the curve,AUC)为0.749(95%CI=0.672~0.827),验证集中AUC为0.737(95%CI=0.604~0.870)。多因素逻辑回归的结果显示,PS(OR=2.317)与人表皮生长因子受体2(human epidermal growth factor receptor 2,HER2)(OR=4.018)是BC患者NAC反应的独立预测因素。结论 PS可以帮助临床医生在治疗前准确预测NAC的反应,促进BC患者的个性化治疗。

      • 0+1
      • 1+1
      • 2+1
      • 3+1
      • 4+1
    • 基于人工智能的糖尿病预测研究

      2023, 48(12):1489-1492. DOI: 10.13406/j.cnki.cyxb.003387

      摘要 (45) HTML (76) PDF 1.04 M (150) 评论 (0) 收藏

      摘要:目的 以临床类指标建立基于极限梯度增强(extreme gradient boosting,XGBoost)、基于梯度提升树的分类器(light gradient boosting machine,LightGBM)、自适应增强(adaptive boosting,AdaBoost)、多层感知器(multilayer perceptron,MLP)等4种分类器的糖尿病预测模型,并评价其筛查效果。方法 根据病例对照研究设计采集研究组、对照组的99项临床类数据,使用python3.8进行了分析,接着采用线性插补、固有非负隐特征(inherent non negative implicit features,INLF)模型等方法对特征缺失值进行了预测,然后使用4种分类器构建分类模型来检测糖尿病。结果 3 241例高血压合并糖尿病患者作为研究组,4 181例高血压患者作为对照组被纳入模型进行分析,包含99个特征,通过基于XGBoost、LightGBM、AdaBoost和MLP等4种分类器的糖尿病鉴别分类准确率分别为0.894 9、0.887 5、0.862 0、0.856 6。结论 本研究提出基于INLF预测的分类器模型框架的筛查效果较好,初步解决了通过机器学习来进行糖尿病早期筛查的问题,对临床诊断具有一定的实际意义,可作为一种简单、有效的糖尿病及其并发症筛查的方法。

      • 0+1
    • 生物信息学联合机器学习探究主动脉瓣膜钙化潜在的诊断标志物

      2023, 48(12):1493-1500. DOI: 10.13406/j.cnki.cyxb.003399

      摘要 (74) HTML (44) PDF 3.80 M (143) 评论 (0) 收藏

      摘要:目的 通过机器学习方式从免疫、干细胞、成骨3个层面寻找主动脉瓣膜钙化潜在的诊断标志物。方法 利用R语言将高通量基因表达数据库(Gene Expression Omnibus,GEO)中GSE51472、GSE12644和GSE55492 3个数据集的数据进行均一化后合并分析,得到差异表达基因。从Amigo数据库下载免疫、干细胞、成骨相关基因集分别与差异基因取交集,得到钙化瓣膜组织中异常表达的免疫、干细胞、成骨相关基因。利用机器学习方法对差异基因进行深度学习,寻找潜在的诊断生物标志物。进行基因富集(gene set enrichment analysis,GSEA)分析。临床标本结合细胞学实验验证诊断标志物的应用价值。结果 3个数据集合并分析得到102个差异基因,与免疫相关的有51个,与干细胞相关的有1个,与成骨相关的有2个。GSEA分析显示无论是免疫相关基因还是干细胞、成骨相关基因均涉及免疫调控通路。多种机器学习合并分析结果显示白介素受体7(interleukin 7 receptor,IL7R)最具有诊断钙化性主动脉瓣病的价值,但临床标本并不支持生物信息分析结果。细胞实验显示IL7R可以促进瓣膜间质细胞增殖、成骨钙化。结论 IL7R可能不是外周血诊断钙化性主动脉瓣疾病(calcific aortic valve disease,CAVD)的标志物,但是它在CAVD疾病演变过程中可能有重要作用,因此进一步探究IL7R在CAVD中的作用很有必要。

      • 0+1
      • 1+1
      • 2+1
      • 3+1
      • 4+1
    • 基于图神经网络改进宫颈癌筛查系统与宫颈细胞DNA定量在高危型HPV阳性患者中的比较

      2023, 48(12):1501-1506. DOI: 10.13406/j.cnki.cyxb.003390

      摘要 (42) HTML (27) PDF 976.30 K (137) 评论 (0) 收藏

      摘要:目的 基于图神经网络对比分析宫颈癌筛查系统(truScreen,TS)、宫颈细胞DNA定量检查高危型人乳头瘤病毒(human papillomavirus,HPV)阳性患者中筛查宫颈癌及癌前病变的效果。方法 选取2022年1月至2023年5月于重庆大学附属黔江医院妇科门诊行宫颈癌高危型HPV检测阳性的400例患者为研究对象。对所有研究对象依次进行TS、宫颈细胞DNA定量、阴道镜下组织病理学检查。以组织病理检查为“金标准”,除采用TS系统已有模块外,基于图神经网络进行标识学习,提取特征,随后使用支持向量机(support vector machines,SVM)和随机森林(random forest,RF)等分类器进行分类,计算并比较 TS、宫颈细胞DNA定量筛查宫颈癌及癌前病变的灵敏度、特异度、受试者工作特征(receiver operating characteristic,ROC)曲线下面积(area under the curve,AUC)、阴性预测值、阳性预测值、与活检病理结果一致性检验统计量Kappa值。结果 TS融合图神经网络筛查宫颈癌及癌前病变的灵敏度、特异度、AUC、阴性预测值、阳性预测值分别为93.75%、95.45%、0.97、98.18%、87.50%,均高于宫颈细胞DNA定量检查(分别为81.25%、90.91%、0.92、96.15%、64.29%)。与活检病理结果的一致性检验显示,TS融合图神经网络与活检病理结果的Kappa值为0.89,高于宫颈细胞DNA定量检查(0.72)。ROC曲线下面积的比较显示,TS融合图神经网络与宫颈细胞DNA定量检查之间存在显著差异。结论 TS融合图神经网络在高危型HPV阳性患者中筛查宫颈癌及癌前病变的效果优于宫颈细胞DNA定量检查,具有较高的准确性和可靠性,可作为一种简单、有效的宫颈癌筛查方法。

      • 0+1
      • 1+1
      • 2+1
    • >生物信息学分析
    • 阿尔茨海默病患者外周血和海马组织共表达差异基因的生物信息学分析

      2023, 48(12):1507-1513. DOI: 10.13406/j.cnki.cyxb.003383

      摘要 (59) HTML (81) PDF 2.82 M (164) 评论 (0) 收藏

      摘要:目的 基于生物信息学筛选阿尔茨海默病(Alzheimer's disease,AD)患者外周血和海马组织中有共同表达趋势的差异基因,为AD的诊断、治疗靶点的筛选提供新的思路。方法 从基因表达综合数据库(Gene Expression Omnibus,GEO)下载关于AD的数据集GSE97760(9例AD、10例健康对照)、GSE5281(10例AD、13例健康对照)进行生物信息学分析。分别筛选AD患者外周血和海马组织的差异表达基因(differentially expressed genes,DEGs),并确定2个数据集中有共同表达趋势的DEGs。对共表达DEGs进行基因本体论(Gene Ontology,GO)富集分析和京都基因与基因组百科全书(Kyoto Encyclopedia of Genes and Genomes,KEGG)通路分析,构建蛋白互作(protein-protein interaction,PPI)网络进一步筛选关键基因,并对关键基因进行验证。结果 基于对2个GEO数据集的综合分析,共筛选出669个共表达DEGs,包括64个上调DEGs、605个下调DEGs,GO和KEGG分析分别揭示了174个关键条目、40个关键通路,主要在RNA聚合酶的转录调控、神经胶质瘤通路等方面显著富集。通过PPI网络进一步筛选出10个与AD相关的关键基因TP53、PTEN、HNRNPC、EIF4G1、SF3B1、SRSF11、PIK3R1、RBM39、LUC7L3、RBM25,其中PTEN、HNRNPC、SF3B1、PIK3R1、LUC7L3在数据集GSE48350中得到了验证。结论 本研究筛选得出的5个值得进一步研究的关键基因(PTEN、HNRNPC、SF3B1、PIK3R1、LUC7L3),可作为AD诊断的潜在生物标志物。

      • 0+1
      • 1+1
      • 2+1
      • 3+1
      • 4+1
      • 5+1
      • 6+1
    • 基于转录组数据识别代谢综合征与结直肠癌的共同基因特征和分子机制

      2023, 48(12):1514-1519. DOI: 10.13406/j.cnki.cyxb.003389

      摘要 (83) HTML (44) PDF 5.42 M (128) 评论 (0) 收藏

      摘要:目的 识别代谢综合征(metabolic syndrome,MetS)与结直肠癌(colorectal cancer,CRC)共同的基因特征和生物学通路,并筛选与MetS相关的CRC预后生物标志物。方法 对MetS、CRC和相应的对照样本进行差异分析,以识别表达差异的基因作为与疾病相关的基因。根据这些基因的表达特征进行功能富集分析,以识别受调控的生物学功能。利用单因素Cox回归鉴定与CRC预后相关的MetS基因,并使用LASSO和多因素Cox回归分析构建CRC的预后预测模型。基于汇总数据的孟德尔随机化分析(Summary-data-based Mendelian Randomization,SMR)进一步确认MetS基因与CRC预后的因果关系。结果 325个基因在MetS和CRC中表达上调,281个基因表达下调。研究还发现,Apelin信号和胞吐等通路在2种疾病中被抑制,而核酸修复通路则被激活。其中,有60个与MetS和CRC共享的基因与CRC的预后相关。18个基因被用于构建预测模型,在TCGA数据库的CRC队列中,模型在1~5年的曲线下面积(area under the curve,AUC)值均大于0.75,表现出良好的预测性能。通过SMR分析进一步确定,P4HA1和LARS2与CRC预后具有因果关系。结论 MetS和CRC具有共同的基因特征和通路,炎症可能为2种疾病相关的基础,共享基因对CRC的预后有影响。

      • 0+1
      • 1+1
      • 2+1
      • 3+1
      • 4+1
    • 抗生素与5-氟尿嘧啶治疗结直肠癌患者肿瘤转移的关系

      2023, 48(12):1520-1523. DOI: 10.13406/j.cnki.cyxb.003386

      摘要 (67) HTML (22) PDF 538.30 K (173) 评论 (0) 收藏

      摘要:目的 分析重庆地区抗生素治疗对接受5-氟尿嘧啶(5-fluorouracil,5-FU)治疗的结直肠癌(colorectal cancer,CRC)患者肿瘤转移的影响,以期为抗生素在抗癌过程中的使用提供新的见解和策略。方法 回顾性收集2012年1月1日至2021年12月31日重庆市七家医院489例接受5-FU治疗的CRC患者的电子病历资料,采用单因素和多因素logistic回归分析抗生素治疗与接受5-FU治疗的CRC患者肿瘤转移的关系。结果 在接受5-FU治疗的CRC患者和接受5-FU治疗未感染的CRC患者中,接受抗生素治疗的患者的肿瘤转移风险降低(OR=0.410,95%CI=0.201~0.857,P<0.001;OR=0.277,95%CI=0.129~0.607,P=0.001)。使用青霉素的CRC患者的肿瘤转移可能性高于单独使用头孢的患者。结论 抗生素治疗是影响CRC患者肿瘤转移的保护因素,青霉素在抗癌过程的使用可能存在潜在风险,临床医生应谨慎考虑青霉素在5-FU治疗过程中的使用。

    • 16s rRNA测序联合代谢组学技术探究逍遥抑激汤治疗IBS-D的作用机制

      2023, 48(12):1524-1530. DOI: 10.13406/j.cnki.cyxb.003382

      摘要 (75) HTML (58) PDF 2.74 M (123) 评论 (0) 收藏

      摘要:目的 通过 16s rRNA 测序联合代谢组学探讨逍遥抑激汤治疗腹泻型肠易激综合征(diarrhea-predominant irritable bowel syndrome,IBS-D)的作用机制。方法 招募10例就诊于陕西省中医医院且符合纳入标准的IBS-D患者,收集患者逍遥抑激汤治疗前后的粪便样本,进行16s rRNA测序,多样性分析肠道菌群组成和群落结构的差异,筛选差异性菌群;通过粪便代谢组学分析筛选分析差异性表达代谢产物和通路。结果 IBS-D患者在逍遥抑激汤治疗后,门水平上肠道菌群中的厚壁菌门、变形菌门、放线菌门、拟杆菌门发生明显改变,厚壁菌门明显上调,属水平上巨单胞菌、志贺氏埃希氏菌、双歧杆菌、普拉梭菌是优势菌群,多样性分析表明治疗后肠道菌群物种丰富度减低,但均匀度和多样性均增加,群落结构和组成基本一致,Negativicutes、韦荣球菌属是组间具有统计学差异的特异性菌群。筛选出21种疾病相关的差异代谢产物,涉及16条代谢相关通路,苯丙氨酸代谢影响最显著。结论 逍遥抑激汤可能通过调控厚壁菌门、韦荣球菌等肠道菌群,调控苯丙氨酸代谢和组氨酸代谢等通路以达到治疗IBS-D的作用。

      • 0+1
      • 1+1
      • 2+1
      • 3+1
      • 4+1

主管单位 :重庆市教育委员会

主办单位 :重庆医科大学

编辑部 :《重庆医科大学学报》编辑部

主编:黄爱龙

编辑部主任 :唐秋姗

国际标准刊号:ISSN 0253-3626

国内统一刊号:CN 50-1046/R

  • 浏览排行
  • 引用排行
  • 下载排行
按检索
检索词